Velocidad de dos bolas de billar tras un choque elástico con la misma dirección sentido (6812)

, por F_y_Q

Dos bolas de billar de masas m_1 = 10\ kg y m_2 = 6\ kg chocan elásticamente con v_1 = 9\ \textstyle{m\over s} y v_2 = 5\ \textstyle{m\over s} . Calcula sus velocidades después del choque si al inicio se mueven en la misma dirección y sentido.

P.-S.

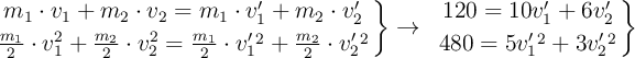
Como se trata una colisión elástica se deben conservar la cantidad de movimiento y la energía cinética del sistema. Escribes las ecuaciones y luego sustituyes para tener el sistema que tienes que resolver:

\left m_1\cdot v_1 + m_2\cdot v_2 = m_1\cdot v^{\prime}_1 + m_2\cdot v^{\prime}_2 \atop \frac{m_1}{2}\cdot v_1^2 + \frac{m_2}{2}\cdot v_2^2= \frac{m_1}{2}\cdot v^{\prime}_1^2 + \frac{m_2}{2}\cdot v^{\prime}_2^2 \right \} \to\ \left 120 = 10v^{\prime}_1 + 6v^{\prime}_2 \atop 480 = 5v^{\prime}_1^2 + 3v^{\prime}_2^2 \right \}

Divides por diez la primera ecuación y despejas el valor de la velocidad de la primera bola después del choque, obteniendo la ecuación:

v^{\prime}_1= 12 - 0.6v^{\prime}_2

Sustituyes esta ecuación en la segunda ecuación del sistema y desarrollas el cuadrado de la diferencia:

480 = 5(12 - 0.6v^{\prime}_2)^2 + 3v^{\prime}_2^2\ \to\ \color[RGB]{2,112,20}{\bm{4.8v^{\prime}_2^2 - 72v^{\prime}_2 + 240= 0}}

Resuelves la ecuación de segundo grado y obtienes dos valores, pero solo uno de ellos tiene significado físico:

\begin{array}{ccc} & & v^{\prime}_2(1)= \frac{72+24}{9.6}=\fbox{\color[RGB]{192,0,0}{\bm{10\ \frac{m}{s}}}}\\ & \nearrow &\\ v^{\prime}_2=\frac{-(-72)\pm \sqrt{(-72)^2-4 \cdot4.8\cdot240}}{2 \cdot4.8}=\frac{72\pm \sqrt{576}}{9.6}& &\\ & \searrow &\\& &v^{\prime}_2(2) = \frac{72-24}{9.6}=\cancel{5\ \frac{m}{s}}\end{array}

Ahora puedes calcular el valor de la velocidad de la primera bola de manera inmediata:

v^{\prime}_1 = 12 - (0.6\cdot 10)= \fbox{\color[RGB]{192,0,0}{\bm{6\ \frac{m}{s}}}}