Velocidad angular y velocidad lineal de una rueda que gira (6737)

, por F_y_Q

¿Cuál es la velocidad, en rad/s, de una rueda que gira a 300 rpm? Si el diámetro de la rueda es de 90 cm, calcula la velocidad lineal en un punto de su periferia.

P.-S.

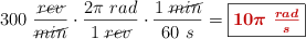
Para expresar la velocidad angular en unidades SI son necesarios dos factores de conversión:

300\ \frac{\cancel{rev}}{\cancel{min}}\cdot \frac{2\pi\ rad}{1\ \cancel{rev}}\cdot \frac{1\ \cancel{min}}{60\ s} = \fbox{\color[RGB]{192,0,0}{\bm{10\pi\ \frac{rad}{s}}}}


La velocidad lineal se relaciona con la velocidad angular por medio del radio o distancia al eje de giro:

v  = \omega\cdot R

Solo tienes que sustituir pero teniendo en cuenta que el radio debe estar expresado en metros y que el dato que te dan es el diámetro:

v = 10\pi\ s^{-1}\cdot 0.45\ m = \fbox{\color[RGB]{192,0,0}{\bm{14.1\ \frac{m}{s}}}}

Palabras clave