Velocidad angular de una atracción para que las personas queden pegadas a la pared (7380)

, por F_y_Q

Una de las atracciones en los parques de diversiones es un cilindro giratorio vertical. Cuando se logra una velocidad de giro lo suficientemente alta las personas dentro del cilindro permanecen pegados a la pared. Durante la rotación la fuerza de fricción estática sostiene a cada persona. Si el radio del cilindro es R= 2 m y coeficiente de fricción entre la persona y la pared del cilindro es de 0.2, ¿cuál es la rapidez angular del cilindro?

P.-S.

Es muy aconsejable hacer un esquema de la situación descrita en el enunciado en el que dibujes las fuerzas presentes en una de las personas que está en la atracción:


La fuerza de rozamiento es la que compensa al peso de la persona para que se mantenga pegado a la pared, pero ten en cuenta que esa fuerza de rozamiento depende de la normal. Si aplicas la segunda ley de la dinámica en la dirección vertical:

\left F_R - p = 0\ \to\ F_R = p \atop F_R = \mu\cdot N \right \}\ \to\ \color[RGB]{2,112,20}{\bm{\mu\cdot N = m\cdot g}}

La normal es la única fuerza en la dirección horizontal y tiene que ser, por tanto, igual a la fuerza centrípeta del movimiento circular del cilindro. ¡Ahí está la clave del problema!

\mu\cdot \cancel{m}\cdot \frac{v^2}{R} = \cancel{m}\cdot g\ \to\ \color[RGB]{2,112,20}{\bm{v = \sqrt{\frac{g\cdot R}{\mu}}}}

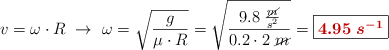
Debes calcular la rapidez angular que se relaciona con la rapidez por medio del radio:

v = \omega\cdot R\ \to\ \omega = \sqrt{\frac{g}{\mu\cdot R}} = \sqrt{\frac{9.8\ \frac{\cancel{m}}{s^2}}{0.2\cdot 2\ \cancel{m}}} = \fbox{\color[RGB]{192,0,0}{\bm{4.95\ s^{-1}}}}