Velocidad, aceleración y tiempo durante el que cae un paracaidista (6493)

, por F_y_Q

Un paracaidista se lanza en caída libre desde una altura de 1 000 m. A los 400 m abre el paracaídas que lo frena rápidamente de modo que a los 200 m cae con una velocidad uniforme de 6 m/s.

a) ¿Cuál es la velocidad al momento de abrir el paracaídas?

b) ¿Cuál es la aceleración que provoca el paracaídas?

c) ¿Cuánto demora en llegar al suelo?

P.-S.

a) El primer tramo es de una caída libre durante 600 m. La velocidad al final del tramo es:

v_1^2 = \cancelto{0}{v_0^2} + 2gd_1\ \to\ v = \sqrt{2\cdot 9.8\ \frac{m}{s^2}\cdot 600\ m} = \fbox{\color[RGB]{192,0,0}{\bm{108.4\ \frac{m}{s}}}}


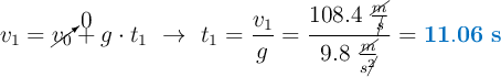
El tiempo de caída en este primer tramo es:

v_1 = \cancelto{0}{v_0} + g\cdot t_1\ \to\ t_1 = \frac{v_1}{g} = \frac{108.4\ \frac{\cancel{m}}{\cancel{s}}}{9.8\ \frac{\cancel{m}}{s\cancel{^2}}} = \color[RGB]{0,112,192}{\bf 11.06\ s}

b) Ahora se trata de un movimiento retardado en el que debes calcular la aceleración durante los 200 m de frenada:

v_2^2 = v_1^2 + 2ad_2\ \to\ a = \frac{(6^2 - 108.4^2)\ \frac{m\cancel{^2}}{s^2}}{2\cdot 200\ \cancel{m}} = \fbox{\color[RGB]{192,0,0}{\bm{-29.3\ \frac{m}{s^2}}}}


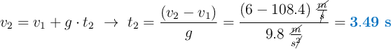
El tiempo durante la frenada es:

v_2 = v_1 + g\cdot t_2\ \to\ t_2 = \frac{(v_2 - v_1)}{g} = \frac{(6 - 108.4)\ \frac{\cancel{m}}{\cancel{s}}}{9.8\ \frac{\cancel{m}}{s\cancel{^2}}} = \color[RGB]{0,112,192}{\bf 3.49\ s}

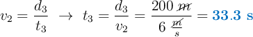
c) En este tercer tramo cae con velocidad constante, por lo que el tiempo que tarda en llegar al suelo en el último tramo es:

v_2 = \frac{d_3}{t_3}\ \to\ t_3 = \frac{d_3}{v_2} = \frac{200\ \cancel{m}}{6\ \frac{\cancel{m}}{s}} = \color[RGB]{0,112,192}{\bf 33.3\ s}

El tiempo total que tarda el paracaidista en llegar al suelo es la suma de los tres tiempos calculados:

t = t_1 + t_2 + t_3 = (11.06 + 3.49 + 33.3)\ s = \fbox{\color[RGB]{192,0,0}{\bf 47.85\ s}}