Velocidad a media altura y distancia de la base a la que cae una bolita que rueda por una superficie horizontal (5972)

, por F_y_Q

Una bolita rueda sobre una superficie horizontal con una velocidad de módulo desconocido cuando alcanza el borde y comienza a caer. Sabiendo que demora 2.2 s en llegar al piso y que la velocidad en ese instante vale 35 m/s, determina:

a) ¿A qué distancia de la base caerá la bolita?

b) El valor de la velocidad cuando su altura sea la mitad de la altura desde la que inició la caída.

P.-S.

La bolita sigue un movimiento equivalente a un lanzamiento horizontal en el que la velocidad horizontal es constante e igual a la que llevaba la bolita al rodar por la superficie, mientras que la velocidad vertical varía por acción de la aceleración de la gravedad. Las ecuaciones del movimiento son:

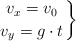
Para la velocidad:

\left v_x = v_0 \atop v_y = g\cdot t \right \}

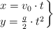
Para la posición:

\left x = v_0\cdot t \atop y = \frac{g}{2}\cdot t^2 \right \}

a) Debes calcular la velocidad de la bolita cuando abandona el plano horizontal y lo puedes hacer a partir del valor de la velocidad cuando llega al suelo:

v_f = \sqrt{v_0^2 + v_y^2}\ \to\ \color[RGB]{2,112,20}{\bm{v_0 = \sqrt{v_f^2 - v_y^2}}}

Si sustituyes por la ecuación de la velocidad vertical:

v_0 = \sqrt{v_f^2 - (g\cdot t)^2} = \sqrt{\Big[35^2 - (9.8\cdot 2.2)^2\Big]\ \frac{m^2}{s^2}} = \color[RGB]{0,112,192}{\bm{27.6\ \frac{m}{s}}}

La distancia a la que caerá de la base es:

x = v_0\cdot t = 27.6\ \frac{m}{\cancel{s}}\cdot 2.2\ \cancel{s} = \fbox{\color[RGB]{192,0,0}{\bf 60.7\ m}}


b) La altura desde la que empieza a caer la calculamos a partir de la ecuación de la posición vertical y el tiempo que tarda en caer:

h = 9.8\ \frac{m}{\cancel{s^2}}\cdot 2.2^2\ \cancel{s^2} = \color[RGB]{0,112,192}{\bf 23.7\ m}}

El tiempo que tardará la bolita en estar a la mitad de la altura es:

\frac{h}{\cancel{2}} = \frac{g}{\cancel{2}}\cdot t^2\ \to\ t = \sqrt{\frac{h}{g}} = \sqrt{\frac{23.7\ \cancel{m}}{9.8\ \frac{\cancel{m}}{s}}} = \color[RGB]{0,112,192}{\bf 1.56\ s}}

La velocidad en ese punto se obtiene a partir de las componentes horizontal y vertical:

v = \sqrt{v_0^2 + v_y^2} = \sqrt{\Big[27.6^2 + (9.8\cdot 1.56)^2\Big]\ \frac{m^2}{s^2}} = \fbox{\color[RGB]{192,0,0}{\bm{23\ \frac{m}{s}}}}