Vehículo que desacelera en una distancia dada

, por F_y_Q

Disminuimos la velocidad de nuestro vehículo, con una aceleración constante, desde una velocidad de 23 m/s a una de 12,5 m/s en una distancia de 105 m. Calcula:

a) ¿Cuánto tiempo transcurre en la desaceleración?

b) ¿Cuál es la aceleración?

c) Si continúa el movimiento con la misma aceleración, ¿cuánto tiempo tardaría en detenerse y qué distancia adicional recorrería?

P.-S.

En primer lugar vamos a calcular la aceleración con la que frena el vehículo para poder hacer el resto de cálculos que nos piden en el enunciado.
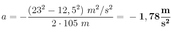
b) La aceleración está relacionada con la distancia de frenado y las velocidades inicial y final por medio de una ecuación en la que podemos despejar la aceleración para calcularla:
v^2 = v_0^2 + 2ad\ \to\ a = -\frac{v_0^2 - v^2}{2d}

a = -\frac{(23^2 - 12,5^2)\ m^2/s^2}{2\cdot 105\ m} = \bf -1,78\frac{m}{s^2}


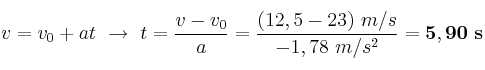
a) Ahora es muy fácil calcular el tiempo que ha estado frenando el vehículo:

v = v_0 + at\ \to\ t = \frac{v - v_0}{a} = \frac{(12,5 - 23)\ m/s}{-1,78\ m/s^2} = \bf 5,90\ s


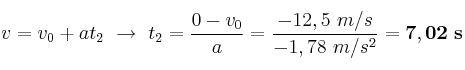
c) En este caso debemos considerar que la velocidad inicial será la que antes era final, es decir, los 12,5 m/s, mientras que la velocidad final será nula. Usando la misma ecuación del apartado a) y despejando el tiempo del segundo tramo:

v = v_0 + at_2\ \to\ t_2 = \frac{0 - v_0}{a} = \frac{-12,5\ m/s}{-1,78\ m/s^2} = \bf 7,02\ s

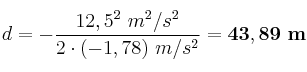
La distancia adicional la vamos a calcular usando la misma ecuación que usamos en el apartado b):
v^2 = v_0^2 + 2ad\ \to\ d = -\frac{v_0^2 - 0}{2a}

d = -\frac{12,5^2\ m^2/s^2}{2\cdot (-1,78)\ m/s^2} = \bf 43,89\ m