P.-S.
El valor de la intensidad total del circuito es de 13 mA por lo que, aplicando la ley de Ohm puedes conocer la resistencia equivalente del circuito:
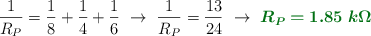
Para conocer el valor de R necesitas saber el valor de la asociación de las tres resistencias en paralelo:
Como la resistencia R está en serie con la asociación que acabas de calcular, solo tienes que despejar:
![R_{eq} = R + R_P\ \to\ R = R_{eq} - R_P = (3.85 - 1.85)\ k\Omega\ \to\ \fbox{\color[RGB]{192,0,0}{\bm{R = 2\ k\Omega}}} R_{eq} = R + R_P\ \to\ R = R_{eq} - R_P = (3.85 - 1.85)\ k\Omega\ \to\ \fbox{\color[RGB]{192,0,0}{\bm{R = 2\ k\Omega}}}](local/cache-vignettes/L501xH22/ebd615de542d005436228011c3fe26b8-90538.png?1733051079)
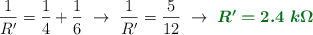
Para poder determinar las corrientes en cada rama es necesario conocer el valor de la resistencia equivalente en la rama por la que circulará la corriente

:
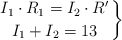
En las ramas 1 y 2 la caída de potencial es la misma, por estar conectadas en paralelo. Puedes establecer el siguiente sistema de ecuaciones que tienes que resolver:
Lo puedes hacer por sustitución y resuelves la ecuación:
![(13 - I_2)\cdot 8 = 2.4\cdot I_2\ \to\ 104 - 8I_2 = 2.4I_2\ \to\ \fbox{\color[RGB]{192,0,0}{\bm{I_2 = 10\ mA}}} (13 - I_2)\cdot 8 = 2.4\cdot I_2\ \to\ 104 - 8I_2 = 2.4I_2\ \to\ \fbox{\color[RGB]{192,0,0}{\bm{I_2 = 10\ mA}}}](local/cache-vignettes/L452xH24/b14c779cddc74eff399aef819c7224af-28b6d.png?1733051079)
La intensidad en la otra rama la obtienes por diferencia:
![I_1 = (13 - 10)\ mA\ \to\ \fbox{\color[RGB]{192,0,0}{\bm{I_1 = 3\ mA}}} I_1 = (13 - 10)\ mA\ \to\ \fbox{\color[RGB]{192,0,0}{\bm{I_1 = 3\ mA}}}](local/cache-vignettes/L265xH24/a061788f1a12d237701a07a04363f775-f5782.png?1733051079)
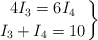
Las corrientes en las ramas 3 y 4 se obtienen de manera análoga, pero teniendo en cuenta que la suma de las corrientes es igual a 10 mA:
Sustituyes y resuelves la ecuación:
![4(10 - I_4) = 6I_4\ \to\ 40 - 4I_4 = 6I_4\ \to\ \fbox{\color[RGB]{192,0,0}{\bm{I_4 = 4\ mA}}} 4(10 - I_4) = 6I_4\ \to\ 40 - 4I_4 = 6I_4\ \to\ \fbox{\color[RGB]{192,0,0}{\bm{I_4 = 4\ mA}}}](local/cache-vignettes/L386xH24/3d542c05a2d701d19957bb2f69144953-fc96c.png?1733051079)
La intensidad en la otra rama la obtienes por diferencia:
![I_3 = (10 - 4)\ mA\ \to\ \fbox{\color[RGB]{192,0,0}{\bm{I_3 = 6\ mA}}} I_3 = (10 - 4)\ mA\ \to\ \fbox{\color[RGB]{192,0,0}{\bm{I_3 = 6\ mA}}}](local/cache-vignettes/L257xH24/8e524eddaa855cc96783a82a64de5bce-69bcf.png?1733051079)