Circuito mixto: resistencia equivalente y corriente eléctrica (7055)

, por F_y_Q

Determina la resistencia equivalente del circuito de la figura y calcula la intensidad de corriente que corresponde a los nodos en los que la batería se conecta a la asociación de resistencias.

P.-S.

Para hacer la resistencia equivalente puedes ir calculando asociaciones de resistencias que denotaremos con letras. Empiezas por la asociación en serie de la rama que contiene las resistencias 3, 4 y 5:

R_a = R_3 + R_4 + R_5 = (10 + 20 + 18)\ \Omega = \color[RGB]{0,112,192}{\bf 48\ \Omega}

Haces la asociación de las tres ramas de arriba:

\frac{1}{R_b} = \frac{1}{R_2} + \frac{1}{R_a} + \frac{1}{R_6}\ \to\ \frac{1}{R_b} = \left[\frac{1}{16} + \frac{1}{48} + \frac{1}{24}\right]\ \Omega^{-1}\ \to\ R_b = \color[RGB]{0,112,192}{\bf 8\ \Omega

Ahora terminas con la asociación de arriba entre la resistencia 1 y la que acabas de calcular:

R_c = R_1 + R_b = (4 + 8)\ \Omega = \color[RGB]{0,112,192}{\bf 12\ \Omega

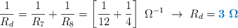
Haces la asociación entre las resistencias 7 y 8:

\frac{1}{R_d} = \frac{1}{R_7} + \frac{1}{R_8} = \left[\frac{1}{12} + \frac{1}{4}\right]\ \Omega^{-1}\ \to\ R_d = \color[RGB]{0,112,192}{\bf 3\ \Omega}

En esa misma rama haces la asociación de la resistencia 9 con la anterior:

R_e = R_9 + R_d = (3 + 3)\ \Omega = \color[RGB]{0,112,192}{\bf 6\ \Omega}

La resistencia equivalente del cicuito es:

\frac{1}{R_T} = \frac{1}{R_c} + \frac{1}{R_e} = \left[\frac{1}{12} + \frac{1}{6}\right]\ \Omega^{-1}\ \to\ R_T = \fbox{\color[RGB]{192,0,0}{\bm{4\ \Omega}}}


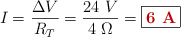
La intensida de corriente la obtienes aplicando la ley de Ohm:

I = \frac{\Delta V}{R_T} = \frac{24\ V}{4\ \Omega} = \fbox{\color[RGB]{192,0,0}{\bf 6\ A}}