Resistencia interna de un generador sabiendo la fem y su potencial para un valor de corriente (7067)

, por F_y_Q

Un generador de fem 12 V se conecta a un circuito. Si cuando circula una intensidad de 10 A la tensión entre los bornes del generador es de 11.2 V, ¿cuál es la resistencia interna del generador?

P.-S.

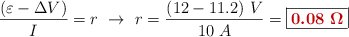
La diferencia entre la fem del generador y la diferencia de potencial que hay entre los bornes del mismo es debida a la caída de potencial que se produce en el generador como consecuencia de su resistencia interna. Se cumple la ecuación:

\color[RGB]{2,112,20}{\bm{\varepsilon = \Delta V + I\cdot r}}

Despejas el valor de la resistencia interna y calculas:

\frac{(\varepsilon - \Delta V)}{I} = r\ \to\ r = \frac{(12 - 11.2)\ V}{10\ A} = \fbox{\color[RGB]{192,0,0}{\bm{0.08\ \Omega}}}