Resistencia de un conductor y variación con la temperatura (7170)

, por F_y_Q

La empresa Energía Plus está evaluando en el mercado qué conductor eléctrico puede transportar mayor carga eléctrica. Se presentan tres conductores de distintos materiales, como se muestra en la figura:

Sabiendo que 1 mils = 1.27 mm y que 1 pie = 304.8 mm y que las resistividades son \rho_{Al} = 2.63\cdot 10^{-8}\ \Omega\cdot m, \rho_{Cu} = 1.72\cdot 10^{-8}\ \Omega\cdot m y \rho_{Ag} = 1.47\cdot 10^{-8}\ \Omega\cdot m:

a) Determina la resistencia eléctrica para el conductor de plata.

b) Determina la resistencia eléctrica para el conductor de cobre.

c) Determina la resistencia eléctrica para el conductor de aluminio.

d) Determina la resistencia eléctrica de cada material si operan con una variación de temperatura de 50 ^oC.

Dato: \alpha_{Ag} = \alpha_{Cu} = \alpha_{Al} = 4\cdot 10^{-3}\ \textstyle{\Omega\over ^oC}

P.-S.

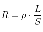
La resistencia de un conductor como los de la imagen sigue la siguiente expresión:

R = \rho\cdot \frac{L}{S}

La sección de los tres conductores es circular y la obtienes aplicando la ecuación:

S = \pi\cdot r^2 = \pi\cdot \frac{d}{2}

a) En primer lugar debes hacer el cambio de unidades de la longitud y la sección del conductor:

L_{Ag} = 1\ \cancel{ft}\cdot \frac{304.8\ \cancel{mm}}{1\ \cancel{ft}}\cdot \frac{1\ m}{10^3\ \cancel{mm}} = \color[RGB]{0,112,192}{\bf 0.305\ m}}

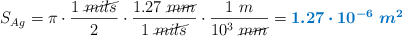
S_{Ag} = \pi\cdot \frac{1\ \cancel{mils}}{2}\cdot \frac{1.27\ \cancel{mm}}{1\ \cancel{mils}}\cdot \frac{1\ m}{10^3\ \cancel{mm}} = \color[RGB]{0,112,192}{\bm{1.27\cdot 10^{-6}\ m^2}}}

La resistencia del conductor de plata será:

R_{Ag} = 1.47\cdot 10^{-8}\ \Omega\cdot \cancel{m}\cdot \frac{0.305\ \cancel{m}}{1.27\cdot 10^{-6}\ \cancel{m^2}} = \fbox{\color[RGB]{192,0,0}{\bm{3.53\cdot 10^{-3}\ \Omega}}}


b) El cálculo de la resistencia del conductor de cobre es análogo al anterior:

R_{Cu} = 1.72\cdot 10^{-8}\ \Omega\cdot \cancel{m}\cdot \frac{3.05\ \cancel{m}}{1.27\cdot 10^{-4}\ \cancel{m^2}} = \fbox{\color[RGB]{192,0,0}{\bm{4.13\cdot 10^{-4}\ \Omega}}}


c) Lo mismo haces para el conductor de aluminio:

R_{Al} = 2.63\cdot 10^{-8}\ \Omega\cdot \cancel{m}\cdot \frac{15.25\ \cancel{m}}{3.17\cdot 10^{-3}\ \cancel{m^2}} = \fbox{\color[RGB]{192,0,0}{\bm{1.27\cdot 10^{-4}\ \Omega}}}


d) La variación de la resistencia con la temperatura depende del coeficiente térmico de resistividad, que es igual para los tres materiales, y sigue la ecuación:

\color[RGB]{2,112,20}{\bm{R = R_0(1 + \alpha\cdot \Delta T)}}

El cálculo de las resistencias para cada conductor cuando la variación de la temperatura es de 50 ^oC:

R_{Ag} = 3.53\cdot 10^{-3}\ \Omega\ (1 + 4\cdot 10^{-3}\ \frac{\Omega}{\cancel{^oC}}\cdot 50\ \cancel{^oC}) = \fbox{\color[RGB]{192,0,0}{\bm{4.24\cdot 10^{-3}\ \Omega}}}


R_{Cu} = 4.13\cdot 10^{-4}\ \Omega\ (1 + 4\cdot 10^{-3}\ \frac{\Omega}{\cancel{^oC}}\cdot 50\ \cancel{^oC}) = \fbox{\color[RGB]{192,0,0}{\bm{4.96\cdot 10^{-4}\ \Omega}}}


R_{Al} = 1.27\cdot 10^{-4}\ \Omega\ (1 + 4\cdot 10^{-3}\ \frac{\Omega}{\cancel{^oC}}\cdot 50\ \cancel{^oC}) = \fbox{\color[RGB]{192,0,0}{\bm{1.52\cdot 10^{-4}\ \Omega}}}