Unidades: movimiento uniforme y velocidad 0001

, por F_y_Q

¿Cuánto tiempo tarda un móvil en recorrer una distancia de 30 kilómetros si lleva una velocidad de 200 metros por segundo?

P.-S.

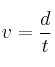
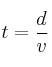
Siendo su velocidad constante, se cumple: v = \frac{d}{t}. Despejando: t = \frac{d}{v}
Ahora hay que expresar la distancia en metros, para que tenga las mismas unidades que la velocidad:

t = \frac{30\ 000\ m}{200\frac{m}{s}} = \bf 150\ s