Tren que parte del reposo y se mueve con aceleración constante (5896)

, por F_y_Q

Un tren parte del reposo y se mueve con una aceleración constante. En un momento dado lleva una rapidez de 10\ \textstyle{m\over s} y 20 m más adelante su rapidez es de 16\ \textstyle{m\over s}. Calcula:

a) Su aceleración.

b) El tiempo empleado en recorrer esos 20 m.

c) El tiempo que emplea en alcanzar una rapidez de 25\ \textstyle{m\over s}.

d) La distancia que recorrió desde que partió del reposo hasta que adquirió la rapidez de 16\ \textstyle{m\over s}.

P.-S.

a) Como conoces los valores de velocidad antes y después de recorrer los 20 m, puedes determinar su aceleración con la expresión:

v_2^2 = v_1^2 + 2ad\ \to\ \color[RGB]{2,112,20}{\bm{a = \frac{(v_2^2 - v_1^2)}{2d}}}

Sustitutuyes los datos y calculas:

a = \frac{(16^2 - 10^2)\frac{m\cancel{^2}}{s^2}}{2\cdot 20\ \cancel{m}} = \fbox{\color[RGB]{192,0,0}{\bm{3.9\ \frac{m}{s^2}}}}


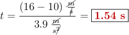
b) El tiempo lo puedes obtener a partir de los valores de velocidad en el intervalo y la aceleración calculada:

v_2 = v_1 + at\ \to\ \color[RGB]{2,112,20}{\bm{t = \frac{v_2 - v_1}{a}}}

El cálculo es:

t = \frac{(16 - 10)\ \frac{\cancel{m}}{\cancel{s}}}{3.9\ \frac{\cancel{m}}{s\cancel{^2}}} = \fbox{\color[RGB]{192,0,0}{\bf 1.54\ s}}


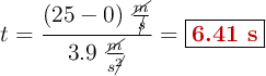
c) Para hacer este apartado supones que quieres conocer el tiempo que transcurre desde que inició su movimiento hasta que alcanza la velocidad indicada, por lo que aplicas la misma ecuación que en el apartado anterior:

t = \frac{(25 - 0)\ \frac{\cancel{m}}{\cancel{s}}}{3.9\ \frac{\cancel{m}}{s\cancel{^2}}} = \fbox{\color[RGB]{192,0,0}{\bf 6.41\ s}}


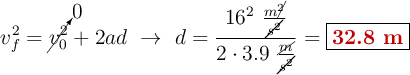
d) El cálculo de esta distancia lo haces aplicando la misma ecuación que en el apartado a), pero considerando que la velocidad inicial es cero y la final la que te indica el enunciado:

v_f^2 = \cancelto{0}{v_0^2} + 2ad\ \to\ d = \frac{16^2\ \frac{m\cancel{^2}}{\cancel{s^2}}}{2\cdot 3.9\ \frac{\cancel{m}}{\cancel{s^2}}} = \fbox{\color[RGB]{192,0,0}{\bf 32.8\ m}}