Trabajo y potencia necesaria para elevar un teleférico con velocidad constante (5905)

, por F_y_Q

Un cable impulsado por un motor tira de un teleférico de tres toneladas de masa, para subirlo desde un punto A hasta un punto B, que distan 1 500 m, con una inclinación de 35 ^o. Despreciando la fricción, calcula:

a) ¿Qué trabajo se necesita para que el teleférico haga el recorrido con rapidez constante de 8 \ \textstyle{m\over s}?

b) ¿Cuántos caballos de fuerza debe de tener el motor para realizar esta tarea?

Dato: 1 CV = 745.7 W.

P.-S.

a) El trabajo necesario tiene que ser igual a la variación de energía mecánica que experimenta el teleférico. Esta variación de la energía mecánica tiene dos componentes; la variación de la energía cinética y la de la energía potencial. La variación de la energía cinética la calculas suponiendo que el sistema parte del reposo y se pone a la velocidad indicada para el trayecto:

\Delta E_C = \frac{1}{2}\cdot m\cdot (v^2 - \cancelto{0}{v_0^2}) = \frac{3\cdot 10^3}{2}\ kg\cdot 64\ \frac{m^2}{s^2} = \color[RGB]{0,112,192}{\bm{9.6\cdot 10^4\ J}}

Para calcular la variación de la energía potencial debes calcular el desnivel que salva el teleférico. Como conoces la distancia entre A y B y el ángulo de inclinación, el desnivel es: <

h = d\cdot sen\ 35^o = 1\ 500\ m\cdot 35^o = \color[RGB]{0,112,192}{\bf 860.4\ m}

La variación de la energía potencial es:

\Delta E_P = m\cdot g\cdot h = 3\cdot 10^3\ kg\cdot 9.8\ \frac{m}{s^2}\cdot 860.4\ m = \color[RGB]{0,112,192}{\bm{2.53\cdot 10^7\ J}}

La variación de la energía mecánica, que es igual al trabajo, será:

W = \Delta E_M = (9.6\cdot 10^4 + 2.53\cdot 10^7)\ J = \fbox{\color[RGB]{192,0,0}{\bm{2.54\cdot 10^7\ J}}}


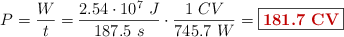
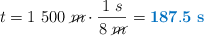
b) El tiempo necesario para cubrir el recorrido, a la velocidad constante del enunciado, es:

t = 1\ 500\ \cancel{m}\cdot \frac{1\ s}{8\ \cancel{m}} = \color[RGB]{0,112,192}{\bf 187.5\ s}

La potencia del motor es el cociente entre el trabajo calculado y el tiempo empleado en el recorrido. Usas el factor de conversión del enunciado para expresar el resultado en la unidad pedida:

P = \frac{W}{t} = \frac{2.54\cdot 10^7\ J}{187.5\ s}\cdot \frac{1\ CV}{745.7\ W} = \fbox{\color[RGB]{192,0,0}{\bf 181.7\ CV}}