P.-S.
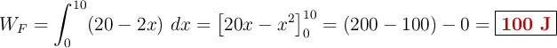
a) El trabajo realizado por la fuerza variable dada es:
Si sustituyes los límites de integración, el valor de la fuerza e integras:
![W_F = \int_{0}^{10} (20 - 2x)\ dx = \left[ 20x - x^2 \right]_0^{10} = (200 - 100) - 0 = \fbox{\color[RGB]{192,0,0}{\bf 100\ J}} W_F = \int_{0}^{10} (20 - 2x)\ dx = \left[ 20x - x^2 \right]_0^{10} = (200 - 100) - 0 = \fbox{\color[RGB]{192,0,0}{\bf 100\ J}}](local/cache-vignettes/L627xH54/bee109db5f5df0b895ff9238bf17da58-8a823.png?1746469661)
b) La fuerza de rozamiento, debida al coeficiente de rozamiento cinético, es constante y se opone al movimiento:
El trabajo de la fuerza de rozamiento es:
![{\color[RGB]{2,112,20}{\bm{W_R = \vec{F}_R\cdot \Delta \vec{x}}}} = F_R \cdot \Delta x \cdot cos\ 180^o\ \to\ W_R = - 9.8\ N\cdot 10\ m = {\fbox{\color[RGB]{192,0,0}{\bf - 98\ J}}} {\color[RGB]{2,112,20}{\bm{W_R = \vec{F}_R\cdot \Delta \vec{x}}}} = F_R \cdot \Delta x \cdot cos\ 180^o\ \to\ W_R = - 9.8\ N\cdot 10\ m = {\fbox{\color[RGB]{192,0,0}{\bf - 98\ J}}}](local/cache-vignettes/L640xH26/8d2ac6043c2aa902cf7c3b8bfedaab04-ee4d5.png?1746469661)
c) Dado que conoces el trabajo debido a la fuerza y el trabajo de rozamiento, puedes aplicar el teorema de las fuerzas vivas para determinar la velocidad final del bloque:
Si escribes la energía cinética en función de la velocidad y la despejas:
Sustituyes los datos en la ecuación y calculas:
![v = \sqrt{\frac{2\cdot (100 - 98)\ J}{5\ kg}} = \fbox{\color[RGB]{192,0,0}{\bm{0.89\ m\cdot s^{-1}}}} v = \sqrt{\frac{2\cdot (100 - 98)\ J}{5\ kg}} = \fbox{\color[RGB]{192,0,0}{\bm{0.89\ m\cdot s^{-1}}}}](local/cache-vignettes/L373xH65/b0ca970e936b8cc7f9b508ce15a7897b-b029c.png?1746469661)
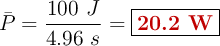
d) La potencia media se define como el trabajo realizado por unidad de tiempo:
Primero necesitas calcular el tiempo que tarda el bloque en moverse desde hasta 10 m, por lo que tienes que calcular la aceleración del bloque. La fuerza neta sobre el bloque es:
La aceleración es, por lo tanto:
Esta aceleración no es constante, por lo que debes resolver la ecuación diferencial del movimiento:
Es mejor expresar la aceleración en función de «dx»:
Separas variables e integras:
Para x = 0 la velocidad es cero y, por lo tanto, la constante de integración C = 0. La ecuación que obtienes es:
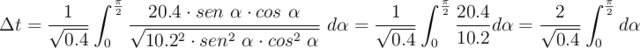
Para hallar

tienes que integrar la velocidad:
La resolución de esta integral es compleja y la debes hacer en varios pasos. Primero puedes factorizar el radicando:
Ahora puedes reescribir la integral anterior, sacando fuera del integrando la constante:
La resuelves por sustitución haciendo:
La nueva integral es:
Operas en radicando y obtienes:
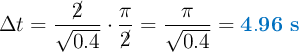
El resultado de la integral es:
La potencia media es:
![\bar{P} = \frac{100\ J}{4.96\ s} = \fbox{\color[RGB]{192,0,0}{\bf 20.2\ W}} \bar{P} = \frac{100\ J}{4.96\ s} = \fbox{\color[RGB]{192,0,0}{\bf 20.2\ W}}](local/cache-vignettes/L220xH46/0ccfa64bca33c622458522333a60e3d1-fff42.png?1746469661)