Máxima altura desde la que puede saltar una persona sin romper sus huesos de las piernas (6635)

, por F_y_Q

¿Cuál es la máxima altura desde la que puede saltar una persona de 70 kg, si al llegar al suelo mantiene las piernas rígidas, suponiendo que los huesos de las piernas tienen 0.5 m de longitud y pueden soportar como máximo una deformación unitaria de \delta = 10^{-2} ? Supón que la superficie del hueso en promedio es de 8\ cm^2 y que el módulo de Young de los huesos es E = 2\cdot 10^{10}\ \textstyle{N\over m^2} . Debes considerar que las articulaciones son infinitamente resistentes de forma que no absorben energía potencial.

P.-S.

La deformación es el cociente entre la deformación que sufren los huesos y su longitud. Como conoces la longitud puedes calcular la deformación que pueden sufrir sin romperse:

{\color[RGB]{2,112,20}{\bm{\delta = \frac{\Delta L}{L}}}}\ \to\ \Delta L = \delta\cdot L = 10^{-2}\cdot 0.5\ m = {\color[RGB]{0,112,192}{\bm{5\cdot 10^{-3}\ m}}}

El módulo de Young se define como el cociente entre la fuerza que se aplica sobre el sistema y el producto del área por la deformación. Puedes despejar de la fórmula el valor de la fuerza:

{\color[RGB]{2,112,20}{\bm{E = \frac{F}{A\cdot \delta}}}}\ \to\ F = E\cdot A\cdot \delta = 2\cdot 10^{10}\ \frac{N}{\cancel{m^2}}\cdot 8\cdot 10^{4}\ \cancel{m^2}\cdot 10^{-2} = \color[RGB]{0,112,192}{\bm{1.6\cdot 10^5\ N}}

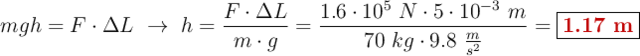
La energía potencial que tenga la persona cuando salta desde la altura «h» se va a transformar en trabajo de deformación por lo que se debe cumplir la ecuación:

mgh = F\cdot \Delta L\ \to\ h = \frac{F\cdot \Delta L}{m\cdot g} = \frac{1.6\cdot 10^5\ N\cdot 5\cdot 10^{-3}\ m}{70\ kg\cdot 9.8\ \frac{m}{s^2}}= \fbox{\color[RGB]{192,0,0}{\bf 1.17\ m}}