Deformación de un resorte que detiene el carro de una montaña rusa (7331)

, por F_y_Q

Un carro de montaña rusa de masa m (kg) se mueve sobre un riel sin fricción por la vía que se muestra en la figura. Al pasar por el punto A, la fuerza normal que ejerce la vía sobre el carro es N_A = 2\cdot m\cdot g\ (N). Cerca de A la vía es circular y de radio L (m). Cuando el carro llega a la parte inferior de la vía lo detiene un amortiguador de resorte con constante de restitución, k (N/m). Calcula la máxima deformación del resorte.

P.-S.

En el punto A, además de la normal, también debes considerar que peso del carro, que también apunta hacia abajo. La suma de las fuerzas presentes en el sistema ha de ser igual a la fuerza centrípeta, es decir, se cumple la ecuación:

N_A + p_A = F_{ct}\ \to\ F_{ct} = 2mg + mg\ \to\ \color[RGB]{2,112,20}{\bm{F_{ct} = 3mg}}

Como la fuerza centrípeta la puedes escribir en función de la velocidad del carro en A, puedes despejar el valor de la velocidad en A:

F_{ct} = \frac{v_A^2}{L}\ \to\ v_A^2 = F_{ct}\cdot L\ \to\ \color[RGB]{0,112,192}{\bm{v_A^2 = 3mgL}}

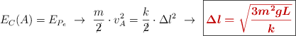
Al no haber fricción, la energía cinética en A debe ser igual a la energía potencial elástica del resorte cuando el carro se detenga:

E_C(A) = E_{P_e}\ \to\ \frac{m}{\cancel{2}}\cdot v_A^2 = \frac{k}{\cancel{2}}\cdot \Delta l^2\ \to\ \fbox{\color[RGB]{192,0,0}{\bm{\Delta l = \sqrt{\dfrac{3m^2gL}{k}}}}}