Tiro parabólico desde acantilado (3692)

, por F_y_Q

Un proyectil se lanza desde el borde de un acantilado de 150 m de altura con una velocidad inicial de 180 m/s que forma un ángulo de 30\ ^o con la horizontal. Sin considerar la fricción con el aire, calcula:

a) La distancia horizontal desde el punto de lanzamiento hasta que el proyectil golpea en el suelo.

b) La elevación máxima sobre el suelo que alcanza el proyectil.

P.-S.

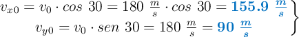
En primer lugar, debes descomponer la velocidad inicial del lanzamiento en las componentes horizontal y vertical:

\left v_x_0 = v_0\cdot cos\ 30 = 180\ \frac{m}{s}\cdot cos\ 30 = {\color[RGB]{0,112,192}{\bm{155.9\ \frac{m}{s}}}} \atop v_y_0 = v_0\cdot sen\ 30 = 180\ \frac{m}{s} = {\color[RGB]{0,112,192}{\bm{90\ \frac{m}{s}}}} \right \}

El proyectil sigue un movimiento uniforme en la dirección horizontal, por lo que su velocidad es constante y su posición viene dada por la ecuación:

\color[RGB]{2,112,20}{\bm{x = v_x_0 = 155.9t}}

En la dirección vertical, al existir la aceleración gravitatoria, el movimiento es un movimiento uniformemente acelerado y sus ecuaciones de velocidad y posición son:

\left {\color[RGB]{2,112,20}{\bm{v_y = 90 - 9.8t}}} \atop {\color[RGB]{2,112,20}{\bm{y = 150 + 90t + 4.9t^2}}} \right \}

a) Para poder calcular la distancia o alcance debes conocer el tiempo durante el que el proyectil estará en el aire. Para ello, impones la condición de que la posición del proyectil sea cero, es decir, que esté en el suelo:

0 = 150 + 90t + 4.9t^2\ \to\ \color[RGB]{0,112,192}{\bm{t_1 = 19.9\ s}}

Esto quiere decir que el proyectil está en vuelo durante 19.9 s, por lo que la distancia que recorrerá en dirección horizontal será:

x = 155.9\ \frac{m}{\cancel{s}}\cdot 19.9\ \cancel{s} = \fbox{\color[RGB]{192,0,0}{\textbf{3 102 m}}}


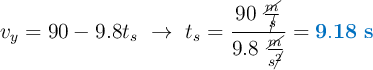
b) La altura máxima será alcanzada cuando el proyectil deje de subir, es decir, cuando la velocidad en el eje vertical sea nula:

v_y = 90 - 9.8t_s\ \to\ t_s = \frac{90\ \frac{\cancel{m}}{\cancel{s}}}{9.8\ \frac{\cancel{m}}{s\cancel{^2}}} = \color[RGB]{0,112,192}{\bf 9.18\ s}

La posición del proyectil en ese tiempo será:

y = 150\ m + 90\ \frac{m}{\cancel{s}}\cdot 9.18\ \cancel{s} - 4.9\ \frac{m}{\cancel{s^2}}\cdot 9.18^2\ \cancel{s^2} = \fbox{\color[RGB]{192,0,0}{\textbf{563.3 m}}}