Tiempo y velocidad final en un MRUA 0001

, por F_y_Q

Un automóvil parte del reposo y con aceleración constante de 3\ m/s^2 recorre 150 m. ¿En cuánto tiempo hizo el recorrido y con qué velocidad llegó al final?

P.-S.

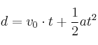
La expresiones que vamos a utilizar son:
d = v_0\cdot t + \frac{1}{2}at^2
v = v_0 + at
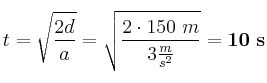
En ambas ecuaciones aparece el término v_0 que es la velocidad al inicio y que, según el enunciado, es cero. Para calcular el tiempo que tarda en hacer los 150 m despejamos de la primera ecuación:

t = \sqrt{\frac{2d}{a}} = \sqrt{\frac{2\cdot 150\ m}{3\frac{m}{s^2}}} = \bf 10\ s


Ahora usamos este resultado en la segunda ecuación:

v = 3\frac{m}{s^2}\cdot 10\ s = \bf 30\frac{m}{s}