Tiempo y posición en la que se cruzan dos corredores que se mueven en sentido contrario

, por F_y_Q

Por un extremo de una pista rectilínea de carreras pasa un primer corredor que se mueve hacia la derecha con una velocidad constante de 18 km/h. En ese mismo instante pasa por el extremo opuesto un segundo corredor que se mueve hacia la izquierda y lleva una velocidad constante de 1 m/s. Sabiendo que la pista tiene una longitud de 1 km, determina el instante y la posición en que se cruzan ambos corredores.

P.-S.

En primer lugar es necesario homogeneizar las unidades del problema y lo mejor que puedes hacer es usar el SI como referencia. La velocidad del primer corredor es:

18\ \frac{\cancel{km}}{\cancel{h}}\cdot \frac{10^3\ m}{1\ \cancel{km}}\cdot \frac{1\ \cancel{h}}{3.6\cdot 10^3\ s} = \color{blue}{5\ \frac{m}{s}}

Ahora escribes las ecuaciones de la posición de cada corredor, pero ten en cuenta que la velocidad del segundo corredor ha de ser negativa:

x_1 = 5t
x_2 = 10^3 - t

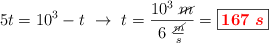
Igualas ambas posiciones y obtienes el tiempo:

5t = 10^3 - t\ \to\ t = \frac{10^3\ \cancel{m}}{6\ \frac{\cancel{m}}{s}} = \fbox{\color{red}{\bm{167\ s}}}


Para obtener la posición solo tienes que sustituir el tiempo calculado en alguna de las ecuaciones de los corredores:

x_1 = 5\ \frac{m}{\cancel{s}}\cdot 167\ \cancel{s} = \fbox{\color{red}{\bm{835}}}