Tiempo total y velocidad media de una composición de movimientos

, por F_y_Q

Un camión parte del reposo en una carretera recta, acelerando a 2.0\ m/s^2 hasta alcanzar una velocidad de 20.0 m/s. A partir de ese momento el camión viaja 20.0 s con velocidad constante hasta que aplica los frenos y se detiene de forma uniforme en otros 5.0 s.

a) ¿Cuánto tiempo está el camión en movimiento?

b) ¿Cuál es la velocidad media del camión?

P.-S.

Vamos a dividir el problema en tres tramos, dado que son tres movimientos distintos los que sigue el camión. En ellos calculamos el tiempo y la distancia recorrida para poder obtener lo que nos piden en los apartados a) y b).
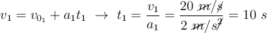
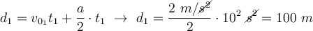
Tramo 1
El camión se mueve con un MRUA. El tiempo para este primer tramo es:
v_1 = v_{0_1} + a_1t_1\ \to\ t_1 = \frac{v_1}{a_1} = \frac{20\ \cancel{m}/\cancel{s}}{2\ \cancel{m}/s\cancel{^2}} = 10\ s
La distancia que recorre en el primer tramo es:
d_1 = v_{0_1}t_1 + \frac{a}{2}\cdot t_1\ \to\ d_1 = \frac{2\ m/\cancel{s^2}}{2}\cdot 10^2\ \cancel{s^2} = 100\ m
Tramo 2
Se trata de un MRU. Conocemos el tiempo de este tramo y solo tenemos que calcular la distancia que recorre:
d_2 = v_2\cdot t_2 = 20\frac{m}{\cancel{s}}\cdot 20\ \cancel{s} = 400\ m
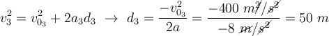
Tramo 3
Es otro MRUA en el que conocemos el tiempo de frenada pero necesitamos conocer la aceleración de la frenada para poder calcular la distancia que recorre.
La aceleración de frenada es:
v_3 = v_{0_3} + a_3t_3\ \to\ a_3 = \frac{-v_{0_3}}{t_3} = \frac{-20\ m/s}{5\ s} = -4\frac{m}{s^2}
Ahora calculamos la distancia de frenada:
v_3^2 = v_{0_3}^2 + 2a_3d_3\ \to\ d_3 = \frac{-v_{0_3}^2}{2a} = \frac{-400\ m\cancel{^2}/\cancel{s^2}}{-8\ \cancel{m}/\cancel{s^2}} = 50\ m
Una vez calculados tiempos y distancias en todos los tramos respondemos a los apartados:
a)

t_T = (10 + 20 + 5)\ s = \bf 35\ s

b)

v_m = \frac{d_T}{t_T} = \frac{(100 + 400 + 50)\ m}{35\ s} = \bf 15.7\frac{m}{s}