Tiempo que tarda un corredor en recorrer mil metros

, por F_y_Q

Un corredor de 1 000 m lisos comienza la carrera con una aceleración de 2\ \textstyle{m\over s^2} hasta alcanzar una velocidad de 9\ \textstyle{m\over s}. Mantiene esa velocidad durante 200 m y después empieza a desacelerar a un ritmo de 0,05\ \textstyle{m\over s}. ¿Cuánto tarda en recorrer los 1 000 m?

P.-S.

Vamos a dividir la carrera en varios tramos para calcular el tiempo que tarda en cada uno de ellos y la distancia que recorre.
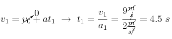
Primer tramo. Parte del reposo y acelera hasta el primer valor de velocidad:
v_1 = \cancelto{0}{v_0} + at_1\ \to\ t_1 = \frac{v_1}{a_1} = \frac{9\frac{\cancel{m}}{\cancel{s}}}{2\frac{\cancel{m}}{s\cancel{^2}}} = 4.5\ s
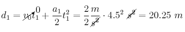
La distancia que recorre en este tramo es:
d_1 = \cancelto{0}{v_0}t_1 + \frac{a_1}{2}t_1^2 = \frac{2}{2}\frac{m}{\cancel{s^2}}\cdot 4.5^2\ \cancel{s^2} = 20.25\ m
Segundo tramo. Ahora corre con velocidad constante durante 200 m, por lo que el tiempo que invierte en este tramo es:
v_1 = \frac{d_2}{t_2}\ \to\ t_2 = \frac{d_2}{v_1} = \frac{200\ \cancel{m}}{9\frac{\cancel{m}}{s}} = 22.22\ s
Tercer tramo. Calculamos ahora el tiempo que tarda en recorrer el resto de la distancia que le queda:
d_3 = (1\ 000 - 20.25 - 200)\ m = 779.75\ m
d_3 = v_1\cdot t_3 - \frac{a_2}{2}\cdot t_3^2\ \to\ 2.5\cdot 10^{-2}\cdot t_3^2 - 9\cdot t_3 + 779.75 = 0
Debemos resolver la ecuación de segundo grado anterior y obtenemos dos resultados posibles:
t_{3_1} = 145.21\ s y t_{3_2} = 214.78\ s
Esto se debe a que la velocidad con la que llega a la línea de meta no es cero. Como está en una carrera, el resultado más coherente con el planteamiento físico del problema es el menor valor del tiempo. Ya podemos determinar el tiempo total de la carrera:

t_T = t_1 + t_2 + t_3 = (4.5 + 22.22 + 145.21)\ s = \bf 171.93\ s

Palabras clave