Tiempo que tarda en caer un objeto soltado desde una altura 0001

, por F_y_Q

Si se deja caer un objeto desde una altura de 180 m, y sin tener en cuenta el rozamiento de éste con el aire, ¿qué tiempo tardará en llegar al suelo? Considera que g = 10\textstyle\ \frac{m}{s^2}

P.-S.

La única fuerza presente en el sistema es el peso, por eso consideramos como aceleración el valor de g. Se trata de una caída libre:
h = v_0\cdot t_c + \frac{1}{2}gt_c^2\ \to\ h = \frac{g}{2}\cdot t_c^2
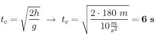
Despejamos el valor del tiempo de caída y sustituimos:

t_c = \sqrt{\frac{2h}{g}}\ \to\ t_c = \sqrt{\frac{2\cdot 180\ m}{10\frac{m}{s^2}}} = \bf 6\ s