Tiempo para que una partícula alcance una aceleración si realiza un movimiento circular con aceleración constante

, por F_y_Q

Una partícula inicia su movimiento con una aceleración angular constante de 3\ \textstyle{rad\over s^2} a través de una trayectoria circular de 1 m de radio. Determina después de qué tiempo presentará una aceleración instantanea de módulo 5\ \textstyle{m\over s^2}?

P.-S.

A partir del dato de la aceleración angular podemos determinar la aceleración tangencial de la partícula, que es constante:
a_t = \alpha\cdot R = 3\frac{rad}{s^2}\cdot 1\ m = 3\ \frac{m}{s^2}
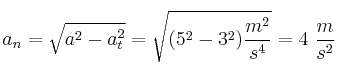
Como se requiere que la aceleración final sea de 5\ \textstyle{m\over s^2}, podemos despejar el valor de la aceleración normal, que es la que varía con el tiempo:
a_n = \sqrt{a^2 - a_t^2} = \sqrt{(5^2 - 3^2)\frac{m^2}{s^4}} = 4\ \frac{m}{s^2}
Esta aceleración normal varía con el tiempo porque depende del valor de la velocidad, que se va incrementado debido a la aceleración. La podemos escribir en función de la velocidad angular y despejarla:
a_n = \omega^2\cdot R\ \to\ \omega = \sqrt{\frac{a_n}{R}} = \sqrt{\frac{4\frac{\cancel{m}}{s^2}}{1\ \cancel{m}}} = 2\ \frac{rad}{s}
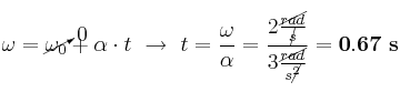
A partir de la expresión de la velocidad angular obtenemos el tiempo buscado:

\omega = \cancelto{0}{\omega_0} + \alpha\cdot t\ \to\ t = \frac{\omega}{\alpha} = \frac{2\frac{\cancel{rad}}{\cancel{s}}}{3\frac{\cancel{rad}}{s\cancel{^2}}} = \bf 0.67\ s

Palabras clave