Tiempo en el que tres móviles que parten de sitios distintos están a la misma distancia (6034)

, por F_y_Q

Tres móviles pasan simultáneamente por los puntos A, B y C con velocidades de 10, 15 y 13 m/s. Si la distancia entre A y B es 8 m y entre B y C es 32 m, ¿después de qué tiempo, expresado en segundos, las distancias entre los móviles serán iguales, si en ese instante guardan el mismo orden?

P.-S.

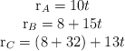
Como se mueven con MRU, las posiciones de los móviles son:

\begin{tabular}{\left}r_A = 10t \\ r_B = 8 + 15t \\ r_C = (8 + 32) + 13t \end{tabular}

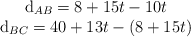
Las distancias que separan a cada uno de los móviles son:

\begin{tabular}{\left} d_{AB} = 8 + 15t - 10t \\ d_{BC} = 40 + 13t - (8 + 15t) \end{tabular}

Si igualas las dos distancias y despejas el tiempo:

8 + 5t = 32 - 2t\ \to\ 7t = 24\ \to\ \bf t = \frac{24\ \cancel{m}}{7\frac{\cancel{m}}{s}} = \fbox{\color[RGB]{192,0,0}{\bf 3.43\ s}}