Tiempo en cruzarse y posición en la que lo hacen dos coches (6178)

, por F_y_Q

Dos coches están separados 1 000 m en una recta de la autopista. Los dos se mueven con velocidades constantes de 126 km/h y 72 km/h con sentidos contrarios hasta encontrarse.

a) ¿Cuánto tiempo tardarán en encontrarse?

b) ¿En qué posición tendrá lugar el encuentro?

c) Dibuja las gráficas x-t y v-t.

P.-S.

Voy a hacer el problema convirtiendo a kilómetros la distancia que los separa, tomando como referencia el coche más rápido y considerando que el coche más lento lleva velocidad negativa.

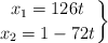
Las ecuaciones del movimiento de cada coche son:

\left x_1 = 126t \atop x_2 = 1 - 72t \right \}

a) Cuando se encuentren las posiciones de ambos coches serán iguales:

126t = 1 - 72t\ \to\ t = \frac{1\ \cancel{km}}{(126 + 72)\ \frac{\cancel{km}}{h}} = \fbox{\color[RGB]{192,0,0}{\bm{5.05\cdot 10^{-3}\ h}}}

Lo convertimos a segundos para que sea un poco más claro ese tiempo:

5.05\cdot 10^{-3}\ \cancel{h}\cdot \frac{3.6\cdot 10^3\ s}{1\ \cancel{h}} = \fbox{\color[RGB]{192,0,0}{\bf 18.2\ s}}


b) Solo hay que sustituir el tiempo calculado en el apartado anterior en la ecuación del primer coche:

x_1 = 126\ \frac{km}{\cancel{h}}\cdot 5.05\cdot 10^{-3}\ \cancel{h} = \fbox{\color[RGB]{192,0,0}{\bf 0.64\ km}}


Se encontrarán a 640 m de donde estaba el primer coche.
c) Si haces clic sobre las miniaturas podrás ver las gráficas con más detalle.