Tiempo de vuelo y velocidad inicial de un obús sabiendo su alcance y ángulo

, por F_y_Q

Se quiere alcanzar un objetivo a 12 km de distancia con un obús de 105 mm. El ángulo de elevación del disparo es 35 ^o:

a) ¿Qué tiempo estará el proyectil en el aire?

b) ¿Cuál es la velocidad con la que fue lanzado?

P.-S.

Para poder hacer el ejercicio es necesario partir de las ecuaciones de la posición horizontal y vertical del proyectil:

x = v_0\cdot t\cdot cos\ 35
y = v_0\cdot t\cdot sen\ 35 - \frac{g}{2}\cdot t^2

a) Lo siguiente que debes hacer es despejar el valor de la velocidad inicial de la primera ecuación:

\color{blue}{v_0 = \frac{x}{t\cdot cos\ 35}}

Ahora sustituyes este valor en la segunda ecuación, con lo que solo nos quedará el tiempo como incógnita:

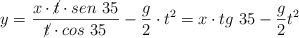
y = \frac{x\cdot \cancel{t}\cdot sen\ 35}{\cancel{t}\cdot cos\ 35} - \frac{g}{2}\cdot t^2 = x\cdot tg\ 35 - \frac{g}{2}t^2

Cuando el proyectil alcance el objetivo a los 12 km de distancia, su altura será cero. Esta es la condición que debes poner a la ecuación anterior:

t = \sqrt{\frac{x\cdot tg\ 35}{4.9}} = \sqrt{\frac{8.4\cdot 10^3\ \cancel{m}}{4.9\ \frac{\cancel{m}}{s^2}}} = \fbox{\color{red}{\bm{41.1\ s}}}


b) La velocidad inicial la calculas con la ecuación pintada en azul:

v_0 = \frac{1.2\cdot 10^4\ m}{41.4\ s\cdot cos\ 35} = \fbox{\color{red}{\bm{354\ \frac{m}{s}}}}