Tiempo de vuelo de un salto horizontal (5878)

, por F_y_Q

Calcula el tiempo en el aire (tiempo de vuelo) de una persona que se desplaza horizontalmente 3 m durante un salto desde 1.25 m de altura. ¿Cuál es el tiempo en el aire cuando la persona se desplaza 6 m horizontalmente durante ese salto?

P.-S.

En la situación del ejercicio la única aceleración que actúa en la dirección vertical es la gravitatoria. El tiempo de vuelo dependerá por lo tanto de la altura desde la que se produce el salto:

y = \cancelto{0}{v_{0y}}\cdot t + \frac{1}{2}gt^2\ \to\ \color[RGB]{2,112,20}{\bm{y = \frac{g}{2}\cdot t^2}}

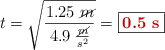
Despejas el tiempo, sustituyes y calculas:

t = \sqrt{\frac{1.25\ \cancel{m}}{4.9\ \frac{\cancel{m}}{s^2}}} = \fbox{\color[RGB]{192,0,0}{\bf 0.5\ s}}


Para conseguir un alcance de 6 m tendrá que aumentar su velocidad inicial horizontal, pero el tiempo de caída será el mismo.