Tiempo de un piloto para cambiar el rumbo del avión antes de colisionar (5965)

, por F_y_Q

Un avión de propulsión a chorro (jet) de alto desempeño, que realiza maniobras para evitar el radar, está en vuelo horizontal a 35 m sobre el nivel del terreno. Súbitamente, el piloto detecta que el terreno asciende con una pendiente de 4.3 ^o, una cantidad dificil de detectar. ¿Cuánto tiempo tiene el piloto para hacer una corrección, si ha de evitar que el avión toque el terreno? La velocidad del aire propulsado es 1 300 km/h

P.-S.

Debes calcular la distancia máxima que el avión puede recorrer hasta que el terreno alcance una altura igual a la del avión. Aplicando trigonometría tienes:

d = \frac{h}{sen\ 4.3} = \frac{35\ m}{sen\ 4.3} = \color[RGB]{0,112,192}{\bf 466.8\ m}

La velocidad del avión es igual a la velocidad del aire que propulsa. Para que el ejercicio sea homogéneno, debes expresar la velocidad en m/s:

1\ 300\ \frac{\cancel{km}}{\cancel{h}}\cdot \frac{10^3\ m}{1\ \cancel{km}}\cdot \frac{1\ \cancel{h}}{3\ 600\ s} = \color[RGB]{0,112,192}{\bm{361.1\ \frac{m}{s}}}

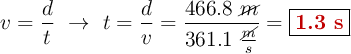
El tiempo del que dispone el piloto es:

v = \frac{d}{t}\ \to\ t = \frac{d}{v} = \frac{466.8\ \cancel{m}}{361.1\ \frac{\cancel{m}}{s}} = \fbox{\color[RGB]{192,0,0}{\textbf{1.3 s}}}

Palabras clave