Tiempo de subida y altura máxima de un cohete que se lanza con aceleración hasta cierta altura (6620)

, por F_y_Q

Se lanza un cohete a escala directamente hacia arriba con una velocidad inicial de 50.0\ m\cdot s^{-1} y acelera a 2.00\ m\cdot s^{-2} de manera constante hacia arriba hasta que los motores se apagan a una altitud de 150 m. ¿Cuál es la altura máxima que alcanza el cohete y el tiempo que tarda en alcanzarla?

P.-S.

En primer lugar, debes calcular la velocidad a la que asciende el cohete cuando alcanza los 150 m y se detienen los motores:

v_1^2 = v_0^2 + 2ah\ \to\ v_1 = \sqrt{v_0^2 + 2ah} = \sqrt{50^2\ \frac{m^2}{s^2} + 2\cdot 2\ \frac{m}{s^2}\cdot 150\ m} = \color[RGB]{0,112,192}{\bm{55.7\ \frac{m}{s}}}

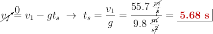
En ese instante, la aceleración que actúa sobre el cohete es la de la gravedad. El tiempo que está subiendo hasta deternerse es:

\cancelto{0}{v_f} = v_1 - gt_s\ \to\ t_s = \frac{v_1}{g} = \frac{55.7\ \frac{\cancel{m}}{\cancel{s}}}{9.8\ \frac{\cancel{m}}{s\cancel{^2}}}= \fbox{\color[RGB]{192,0,0}{\bf 5.68\ s}}



Ahora puedes calcular la altura máxima que alcanza:

h_{m\acute{a}x} = h_1 + v_1t_s - \frac{g}{2}t_s^2 = 55.7\ \frac{m}{\cancel{s}}\cdot 5.68\ \cancel{s} - 4.9\ \frac{m}{\cancel{s^2}}\cdot 5.68^2\ \cancel{s^2}= \fbox{\color[RGB]{192,0,0}{\bf 308\ m}}

Palabras clave