Tiempo de frenado de un vehículo 0001

, por F_y_Q

La distancia de frenado de un vehículo es de 80 m cuando su velocidad inicial es de 72 km/h. Calcula el tiempo de frenado en segundos.

P.-S.

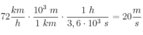
En primer lugar, vamos a expresar la velocidad inicial en m/s:
72\frac{km}{h}\cdot \frac{10^3\ m}{1\ km}\cdot \frac{1\ h}{3,6\cdot 10^3\ s} = 20\frac{m}{s}
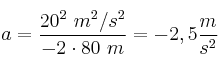
Como conocemos la distancia que recorre antes de detenerse, podemos calcular la aceleración del vehículo durante el frenado, considerando que la velocidad final es nula:
v^2= v_0^2 + 2ad\ \to\ a = \frac{v_0^2}{-2d}
Sustituimos:

a= \frac{20^2\ m^2/s^2}{-2\cdot 80\ m} = -2,5\frac{m}{s^2}

Ahora podemos determinar el tiempo de frenado:
v= v_0 + at\ \to\ t = \frac{v_0}{-a}
Sustituyendo con los datos dados y calculados:

t= \frac{20\ m/s}{2,5\ m/s^2} = \bf 8\ s