Tiempo de ascenso de un objeto lanzado hacia arriba

, por F_y_Q

Lanzamos un objeto hacia arriba con una velocidad inicial de 80 m/s y, tras ascender 300 m, su velocidad es de 20 m/s. ¿Qué tiempo de ascenso habrá pasado hasta ese instante?

P.-S.

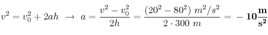
En primer lugar vamos a determinar cuál es la aceleración que sufre el objeto en su ascenso:
v^2 = v_0^2 + 2ah\ \to\ a = \frac{v^2-v_0^2}{2h} = \frac{(20^2 - 80^2)\ m^2/s^2}{2\cdot 300\ m} = \bf -10\frac{m}{s^2}
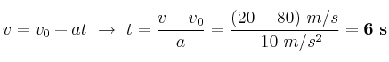
Ahora determinamos el tiempo de ascenso:
v = v_0 + at\ \to\ t = \frac{v - v_0}{a} = \frac{(20 - 80)\ m/s}{-10\ m/s^2} = \bf 6\ s