Resolución de un circuito usando las leyes de Kirchhoff (6572)

, por F_y_Q

Usando las leyes de Kirchhhoff para el circuito de la figura:

a) Calcula la corriente en cada resistor.

b) Encuentra la diferencia de potencial en la rama de enmedio. ¿Qué extremo está a mayor potencial?

P.-S.

En primer lugar, debes escoger un sentido para la corriente en cada malla, pero debe ser el mismo sentido en las dos mallas del circuito. En función de ese sentido, y tomando como referencia uno de los nodos, debes pintar las corrientes eléctricas en cada rama. El esquema que puede quedar es el siguiente:


a) La primera ley de Kirchhoff hace referencia a las corrientes eléctricas. La suma de las intensidades en un nudo ha de ser cero. Se consideran positivas las que llegan al nudo y negativas las que salen de él. La primera ecuación es:

I_1- I_2 - I_3 = 0 \to\ \color[RGB]{0,112,192}{\bf I_1 = I_2 + I_3}

La segunda ley de Kirchhoff es referida a las diferencias de potencial: en cada malla debes considerar la suma de las diferencias de los potenciales y deben ser iguales a las caídas de potencial. Si el sentido de la corriente elegido va desde el borne negativo al borne positivo de la pila, se considera positivo. En caso contrario, se considera negativo. Si la corriente coincide con la que has pintado, será una caída de potencial positiva y si es contraria, será negativa. Las ecuaciones para cada malla quedan como:

(70 - 60) = 2I_1 + 3I_3\ \to\ \color[RGB]{0,112,192}{\bf 10 = 2I_1 + 3I_3}

(-80 + 60) = 4I_2 - 3I_3\ \to\ \color[RGB]{0,112,192}{\bf -20 = 4I_2 - 3I_3}

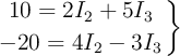
Si sustituyes el valor de I_1 en la primera de las dos ecuaciones, obtienes un sistema de dos ecuaciones con dos incógnitas:

\left 10 = 2I_2 + 5I_3 \atop -20 = 4I_2 - 3I_3 \right \}

Al resolver, y teniendo en cuenta que los coeficientes en realidad están multiplicado por mil porque las resistencias están expresadas en k\Omega , se obtienen como resultados:

\fbox{\color[RGB]{192,0,0}{\bm{I_1 = 8.1\ mA}}} ; \fbox{\color[RGB]{192,0,0}{\bm{I_2 = 5\ mA}}} ; \fbox{\color[RGB]{192,0,0}{\bm{I_3 = 3.1\ mA}}}

b) La diferencia de potencial en la rama de en medio, más la «fem» de la pila situada en ella, ha de ser igual a la caída de potencial que se produce en la rama. Si consideras el sentido de la malla de la izquierda, la ecuación queda:

\Delta V - \varepsilon = 3I_3\ \to\ \Delta V = 3\cdot 10^3\ \Omega\cdot 3.1\cdot 10^{-3}\ A + 60\ V = \fbox{\color[RGB]{192,0,0}{\bf 69.3\ V}}