Resistencia y carga que atraviesa un conductor (3565)

, por F_y_Q

Por un conductor de aluminio de 1 mm de diámetro y 10 m de largo circula una corriente de 2 mA en 1 minuto. Calcula:

a) El número de electrones que pasan por la sección.

b) La resistencia del conductor.

P.-S.

a) La carga que atraviesa la sección del conductor es:

I = \frac{Q}{t}\ \to\ \color[RGB]{2,112,20}{\bf Q = I\cdot t}

Si sustituyes los datos, usando unidades SI, tienes:

Q = 2\cdot 10^{-3}\ A\cdot 60\ s = \color[RGB]{0,112,192}{\bm{1.2\cdot 10^{-1}\ C}}

Como la carga de un electrón es 1.6\cdot 10^{-19}\ C, la carga calculada equivales a:

1.2\cdot 10^{-1}\ \cancel{C}\cdot \frac{1\ \ce{e-}}{1.6\cdot 10^{-19}\ \cancel{C}} = \fbox{\color[RGB]{192,0,0}{\bm{7.5\cdot 10^{17}\ e^-}}}


b) La resistencia del conductor viene dada por la ecuación:

\color[RGB]{2,112,20}{\bm{R = \rho\cdot \frac{l}{S}}}

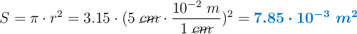
La resistividad del aluminio es \rho = 2.82\cdot 10^{-8}\ \Omega\cdot s y la sección del hilo será:

S = \pi\cdot r^2 = 3.15\cdot (5\ \cancel{cm}\cdot \frac{10^{-2}\ m}{1\ \cancel{cm}})^2 = \color[RGB]{0,112,192}{\bm{7.85\cdot 10^{-3}\ m^2}}

Ahora hacemos el cálculo de la resistencia:

R = 2.82\cdot 10^{-8}\ \Omega\cdot \cancel{m}\cdot \frac{10\ \cancel{m}}{7.85\cdot 10^{-3}\ \cancel{m^2}} = \fbox{\color[RGB]{192,0,0}{\bm{3.59\cdot 10^{-5}\ \Omega}}}