Resistencia interna y fuerza electromotriz de una batería (6067)

, por F_y_Q

La diferencia de potencial entre los terminales de una batería es de 8.40 V cuando la atraviesa una corriente de 1.5 A desde su terminal negativo a su terminal positivo. Cuando la corriente es de 3.5 A en sentido inverso, la diferencia de potencial es de 10.2 V. ¿Cuál es la resistencia interna de la batería? ¿Cuál es la fem de la batería?

P.-S.

Debes considerar que el sentido de la corriente es del terminal positivo al negativo, por lo tanto, en el primer caso, la corriente la tendrás que tomar como negativa. La ecuación que vas a seguir es:

\color[RGB]{2,112,20}{\bm{\Delta V_{AB} = I\cdot r + \varepsilon}}

Sustituyes los valores de los dos casos que te indican en el enunciado:

\left 8.40 = -1.5\cdot r + \varepsilon \atop 8.40 = 3.5\cdot r + \varepsilon \right \}

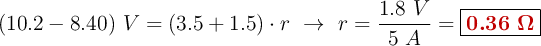
Para resolver el sistema de ecuaciones, multiplicas por (-1) la primera ecuación y sumas:


(10.2 - 8.40)\ V = (3.5 + 1.5)\cdot r\ \to\ r = \frac{1.8\ V}{5\ A} = \fbox{\color[RGB]{192,0,0}{\bm{0.36\ \Omega}}}


La fuerza electromotriz la obtienes de cualquiera de las ecuaciones. Si lo haces usando la primera:

\varepsilon = 8.40\ V + 1.5\ A\cdot 0.36\ \Omega = \fbox{\color[RGB]{192,0,0}{\bf 8.94\ V}}