Resistencia interna de un pila a partir de su fem (5136)

, por F_y_Q

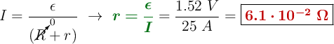
Una pila seca tiene una fem de 1.52 V. Su terminal baja a cero cuando una corriente de 25 A pasa a través de ella. ¿Cuál es la resistencia interna de la pila?

P.-S.

Basta con aplicar la ley de Ohm generalizada, pero en el caso de que la única resistencia es la resistencia interna del dispositivo:

I = \frac{\epsilon}{(\cancelto{0}{R} + r)}\ \to\ {\color[RGB]{2,112,20}{\bm{r = \frac{\epsilon}{I}}}} = \frac{1.52\ V}{25\ A} = \fbox{\color[RGB]{192,0,0}{\bm{6.1\cdot 10^{-2}\ \Omega}}}