Resistencia interna de un generador (6796)

, por F_y_Q

Un generador de fem \varepsilon=12\ V se conecta a un circuito. Si cuando circula una intensidad de 10 A la tensión entre los bornes del generador es de 11.2 V, ¿cuál es la resistencia interna del generador?

P.-S.

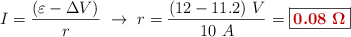
La diferencia de tensión entre la fem y la tensión entre los bornes se debe a la resistencia interna del generador, por lo que solo tienes que aplicar la ley de Ohm para la diferencia entre la fem y la tensión entre los bornes:

I = \frac{(\varepsilon - \Delta V)}{r}\ \to\ r =  \frac{(12 - 11.2)\ V}{10\ A} = \fbox{\color[RGB]{192,0,0}{\bm{0.08\ \Omega}}}