Resistencia equivalente de una asociación mixta de resistencias (6790)

, por F_y_Q

En la siguiente figura se ilustra una asociación mixta de resistencias. Encuentra el valor de la resistencia equivalente, explicando el proceso para llegar a valor buscado:

P.-S.

Algo que debe llamarte la atención es que una de las resistencias no está expresa en k \Omega y por eso la debes expresar como 0.503\  k\Omega para poder hacer los cálculos.

El procedimiento que te propongo es ir resolviendo la asociación de derecha a izquierda. Primero haces la asociación en serie de las dos resistencias de la derecha:

R_A= (14 + 8)\ k\Omega = 22\ k\Omega

Ahora haces la asociación en paralelo con la siguiente resistencia a la derecha:

\frac{1}{R_B} = \frac{1}{22} + \frac{1}{23}\ \to\ R_B =  11.24\ k\Omega

Sigues el mismo procedimiento pero consideras que la resistencia que acabas de calcular está en serie con la siguiente:

R_C = (11.24 + 15)\ k\Omega =  26.24\ k\Omega

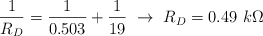
Ahora es necesario que calcules la asociación que hay en la rama de la izquierda para poder seguir con el cálculo tal y como lo estás haciendo:

\frac{1}{R_D} = \frac{1}{0.503}  + \frac{1}{19}\ \to\ R_D = 0.49\ k\Omega

Pero aún hay otra resistencia en la rama que está en serie con las dos de las que acabas de calcular la resistencia equivalente:

R_E = (0.49 + 33)\ k\Omega  = 33.49\ k\Omega

Ahora sí puedes hacer la suma de las resistencias en paralelo:

\frac{1}{R_F} =  \frac{1}{R_C} + \frac{1}{R_E} = \frac{1}{26.24} + \frac{1}{33.49}\ \to\ R_F = 14.71\ \k\Omega

Por último, solo tienes que hacer la resistencia equivalente entre la última calculada y la que está más a la izquierda:

R_{eq} = (14.71 + 13)\ k\Omega  = \fbox{\color[RGB]{192,0,0}{\bm{27.71\ k\Omega}}}