Repaso: ley de Boyle para un tanque de gas (7303)

, por F_y_Q

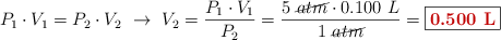
Un tanque a la presión de 5 atm contiene 0.100 L de un gas. Calcula el volumen que ocuparía ese gas si la presión disminuye hasta un valor de 1 atm, si la temperatura permanece constante.

P.-S.

Al ser un sistema gaseoso cerrado en el que la temperatura permanece constante, puedes aplicar la ley de Boyle para calcular el volumen final. Recuerda que presión y volumen son inversamente proporcionales y eso significa que, si disminuyes el valor de la presión, el volumen final tendrá que aumentar.

P_1\cdot V_1 = P_2\cdot V_2\ \to\ V_2 = \frac{P_1\cdot V_1}{P_2} = \frac{5\ \cancel{atm}\cdot 0.100\ L}{1\ \cancel{atm}} = \fbox{\color[RGB]{192,0,0}{\bf 0.500\ L}}