Ampliación: altura inicial de una caída libre sabiendo la distancia recorrida en el último segundo (7760)

, por F_y_Q

Un cuerpo es dejado caer en el vacío sin velocidad inicial. Si en el último segundo recorre 25 m, ¿desde qué altura se dejó caer?

P.-S.

Lo primero que haces es centrarte en el último tramo de la caída libre y escribes las ecuaciones de la velocidad y la posición del cuerpo que dependen del tiempo:

\left v = \cancelto{0}{v_0} + g\cdot t\ \to\ v = 9.8t \atop h_f = h_0 - v\cdot t - \frac{g}{2}\cdot t_f^2\ \to\ 0 = 25 -v\cdot t - 4.9\cdot 1^2 \right \}

Si despejas la velocidad en ambas ecuaciones te queda:

\left {\color[RGB]{2,112,20}{\bm{v = 9.8\cdot t}}} \atop {\color[RGB]{2,112,20}{\bm{v = \frac{20.1}{t}}}} \right \}

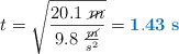
Igualas y despejas el tiempo:

t = \sqrt{\frac{20.1\ \cancel{m}}{9.8\ \frac{\cancel{m}}{s^2}}} = \color[RGB]{0,112,192}{\bf 1.43\ s}

Ahora puedes aplicar el tiempo calculado al primer tramo, en el que desciende desde la altura inicial hasta la posición de los 25 m:

h = h_i - \cancelto{0}{v_0}\cdot t - \frac{g}{2}\cdot t^2\ \to\ h_i = h + 4.9\cdot t^2\ \to\ h_i = 25\ m + 4.9\ \frac{m}{\cancel{s^2}}\cdot 1.43^2\ \cancel{s^2} = \fbox{\color[RGB]{192,0,0}{\bf 35\ m}}