Refuerzo: movimiento rectilíneo retardado de un móvil (7397)

, por F_y_Q

Un móvil que se mueve con velocidad de 108 \ km\cdot h{-1} adquiere una aceleración de retardo de 4\ m\cdot s^{-2} por acción de los frenos. Calcula:

a) ¿Cuál es el desplazamiento del móvil en un tiempo de 5 s?

b) ¿Qué tiempo tarda en detenerse?

c) ¿Cuál es el desplazamiento en este tiempo?

P.-S.

En primer lugar, debes expresar la velocidad en m/s:

108\ \frac{\cancel{km}}{\cancel{h}}\cdot \frac{10^3\ m}{1\ \cancel{km}}\cdot \frac{1\ \cancel{h}}{3.6\cdot 10^3\ s} = \color[RGB]{0,112,192}{\bm{30\ \frac{m}{s}}}

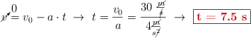
b) Lo más acertado es calcular primero el tiempo que tarda en detenerse el móvil porque, de ser menor que 5 s, los apartados a) y c) tendrían la misma respuesta:

\cancelto{0}{v} = v_0 - a\cdot t\ \to\ t = \frac{v_0}{a} = \frac{30\ \frac{\cancel{m}}{\cancel{s}}}{4 \frac{\cancel{m}}{s\cancel{^2}}}\ \to\ \fbox{\color[RGB]{192,0,0}{\bf t = 7.5\ s}}


a) Al ser un tiempo mayor que 5 s sí que procede hacer este apartado:

d = v_0\cdot t - \frac{a}{2}\cdot t^2 = 30\ \frac{m}{\cancel{s}}\cdot 5\ \cancel{s} - \frac{4}{2}\ \frac{m}{\cancel{s^2}}\cdot 5^2\ \cancel{s^2}\ \to\ \fbox{\color[RGB]{192,0,0}{\bf d = 100\ m}}


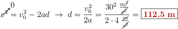
c) Si impones la condición de que la velocidad final sea cero el cálculo es muy rápido:

\cancelto{0}{v^2} = v_0^2 - 2ad\ \to\ d = \frac{v_0^2}{2a} = \frac{30^2\ \frac{m\cancel{^2}}{\cancel{s^2}}}{2\cdot 4\ \frac{\cancel{m}}{\cancel{s^2}}} = \fbox{\color[RGB]{192,0,0}{\bf 112.5\ m}}


Descarga el enunciado y la resolución del problema en formato EDICO si lo necesitas.