Ampliación: parte de un cilindro que se sumerge al añadir arena (7517)

, por F_y_Q

Tenemos un cubo de plástico cilíndrico de 12 L y 25 cm de base. Su masa es de 0.60 kg.

a) Si lo ponemos verticalmente en el mar (con la parte abierta hacia arriba), ¿qué parte del cubo estará sumergida? Considera que la densidad del agua del mar es 1\ 025\ \textstyle{kg\over m^3}.

b) Desde la posición del apartado anterior, ¿qué fuerza tendremos que hacer para sumergirlo completamente?

c) ¿Cuánta arena tendremos que poner si queremos sumergirlo de manera que queden 2 cm fuera del agua?

P.-S.

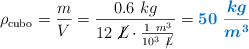
a) Para saber qué parte está sumergida solo tienes que calcular la densidad del cubo, que debe estar expresada en la misma unidad que la densidad del agua para poder comparar ambas densidades:

\rho_{\text{cubo}} = \frac{m}{V} = \frac{0.6\ kg}{12\ \cancel{L}\cdot \frac{1\ m^3}{10^3\ \cancel{L}}} = \color[RGB]{0,112,192}{\bm{50\ \frac{kg}{m^3}}}

Si haces el cociente entre la densidad del cubo y la del agua puedes calcular el porcentaje del cubo que está sumergido:

\frac{50\ \cancel{\frac{kg}{m^3}}}{1\ 025\ \cancel{\frac{kg}{m^3}}}\cdot 100 = \fbox{\color[RGB]{192,0,0}{\bf 4.88\%}}


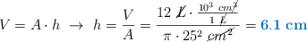
La longitud del cubo que está sumergida la puedes calcular sabiendo antes la altura del cubo:

V = A\cdot h\ \to\ h = \frac{V}{A} = \frac{12\ \cancel{L}\cdot \frac{10^3\ cm\cancel{^3}}{1\ \cancel{L}}}{\pi\cdot 25^2\ \cancel{cm^2}} = \color[RGB]{0,112,192}{\bf 6.1\ cm}

La altura del cubo que está sumergida es:

h^{\prime} = \frac{6.1\ cm\cdot 4.88}{100} = \fbox{\color[RGB]{192,0,0}{\bf 0.30\ cm}}


b) Necesitas ahora sumergir el resto del cubo. Como sabes la masa del cubo puedes calcular su peso:

p = m\cdot g = 0.6\ kg\cdot 9.8\ \frac{m}{s^2} = \color[RGB]{0,112,192}{\bf 5.88\ N}

Ahora comparas este valor con la altura del cubo que queda por sumergir:

(6.1 - 0.3)\ \cancel{cm}\cdot \frac{5.88\ N}{0.30\ \cancel{cm}} = \fbox{\color[RGB]{192,0,0}{\bf 114\ N}}


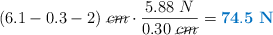
c) Ahora quieres que solo 2 cm de la altura del cubo queden al aire con lo que puedes comparar la altura sin sumergir con la altura que se ha sumergido al inicio y lo que no quieres sumergir:

(6.1 - 0.3 - 2)\ \cancel{cm}\cdot \frac{5.88\ N}{0.30\ \cancel{cm}} = \color[RGB]{0,112,192}{\bf 74.5\ N}

La masa de arena es:

p = m\cdot g\ \to\ m = \frac{p}{g} = \frac{74.5\ N}{9.8\ \frac{m}{s^2}} = \fbox{\color[RGB]{192,0,0}{\bf 7.6\ kg}}

Descarga el enunciado y la resolución del problema en formato EDICO si lo necesitas.