Relación entre velocidad y altura en una caída libre (3432)

, por F_y_Q

Un objeto se suelta desde determinada altura y emplea un tiempo «t» en caer al suelo. Si se cuadruplica la altura desde la que se suelta:

a) El tiempo en caer se duplica.

b) El tiempo de caer se cuadruplica.

c) La velocidad al caer se cuadruplica.

d) La velocidad al caer se reduce a la mitad.

P.-S.

Las ecuaciones para la distancia recorrida y la velocidad, en el caso de una caída libre, son las siguientes:

\left v = g\cdot t \atop h = \frac{g}{2}\cdot t^2 \right \}

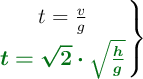
Si despejas el tiempo en ambas ecuaciones:

\left t = \frac{v}{g} \atop {\color[RGB]{2,112,20}{\bm{t = \sqrt 2\cdot \sqrt{\frac{h}{g}}}}}} \right \}

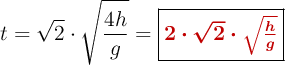
Si haces que «h» sea cuatro veces mayor, (4h), obtienes que el tiempo será:

t = \sqrt 2\cdot \sqrt{\frac{4h}{g}} = \fbox{\color[RGB]{192,0,0}{\bm{2\cdot\sqrt 2\cdot \sqrt{\frac{h}{g}}}}}


Esto quiere decir que el tiempo se hace el doble, por lo que la respuesta correcta es a).