Relación entre trabajo y energía potencial (2453)

, por F_y_Q

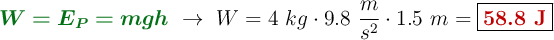
Un objeto de 4 kg se eleva 1.5 m.

a) ¿Qué cantidad de trabajo se efectúa contra la gravedad?

b) Repite el cálculo si el objeto se baja en vez de elevarse.

P.-S.

a) El trabajo que se realiza sobre el objeto será igual a la variación de la energía potencial que experimenta:

{\color[RGB]{2,112,20}{\bm{W = E_P = mgh}}}\ \to\ W = 4\ kg\cdot 9.8\ \frac{m}{s^2}\cdot 1.5\ m = \fbox{\color[RGB]{192,0,0}{\bf 58.8\ J}}


b) En este caso la energía potencial disminuye, por lo tanto el trabajo será el mismo, pero con signo contrario:

\fbox{\color[RGB]{192,0,0}{\bf W = - 58.8\ J}}