Relación entre tiempo y velocidad en MRU 0001

, por F_y_Q

¿Cuánto tiempo tardaríamos en recorrer 880 metros con una velocidad de 62 km/h? Expresa el resultado en unidades del Sistema Internacional.

P.-S.

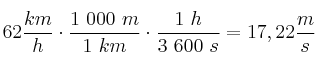
Vamos a expresar la velocidad en m/s:

62\frac{km}{h}\cdot \frac{1\ 000\ m}{1\ km}\cdot \frac{1\ h}{3\ 600\ s} = 17,22\frac{m}{s}


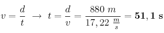
Ahora aplicamos la definición de la velocidad, pero despejamos el tiempo:

v = \frac{d}{t}\ \to\ t = \frac{d}{v} = \frac{880\ m}{17,22\ \frac{m}{s}} = \bf 51,1\ s