Relación de la elongación con la energía mecánica de un oscilador armónico (6371)

, por F_y_Q

Una masa de 1 kg oscila unida a un resorte de constante k= 5 N/m, con movimiento armónico simple de amplitud 10^{-2}\ m.

a) Cuando la elongación es la mitad de la amplitud, calcula que fracción de la energía mecánica es cinética y que fracción es potencial.

b) ¿Cuánto vale la elongación en el punto en el que la mitad de la energía mecánica es cinética y la otra mitad potencial?

P.-S.

La energía mecánica de un oscilador armónico es, como siempre, la suma de sus energías potencial elástica y cinética:

E_M = E_P + E_C\ \to\ \color[RGB]{2,112,20}{\bm{E_M = \frac{1}{2}kx^2 + \frac{1}{2}mv^2}}

Cuando la elongación es máxima, x = A, la velocidad del oscilador es cero y eso significa que la energía mecánica solo tiene componente potencial. Si la elongación es nula, x = 0, la componente de energía potencial será nula y toda la energía mecánica será cinética, por lo que la velocidad será máxima:

\color[RGB]{2,112,20}{\bm{E_M = \frac{1}{2}k\cdot A^2 = \frac{1}{2}m\cdot v_{m\acute{a}x}^2}}}

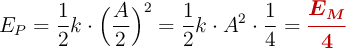
a) Debes suponer que la elongación es la mitad de la amplitud:

E_P = \frac{1}{2}k\cdot \Big(\frac{A}{2}\Big)^2 = \frac{1}{2}k\cdot A^2\cdot \frac{1}{4} = \color[RGB]{192,0,0}{\bm{\frac{E_M}{4}}}


Por lo tanto, la energía cinética es:

E_C = E_M - \frac{E_M}{4} = \color[RGB]{192,0,0}{\bm{\frac{3E_M}{4}}}


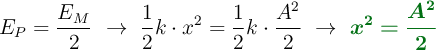
b) Ahora la condición que debes poner es que la energía potencial es la mitad de la energía mecánica:

E_P = \frac{E_M}{2}\ \to\ \frac{1}{2}k\cdot x^2 = \frac{1}{2}k\cdot \frac{A^2}{2}\ \to\ \color[RGB]{2,112,20}{\bm{x^2 = \frac{A^2}{2}}}

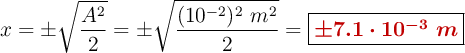
Despejas la elongación y calculas:

x = \pm \sqrt{\frac{A^2}{2}} = \pm \sqrt{\frac{(10^{-2})^2\ m^2}{2}} = \fbox{\color[RGB]{192,0,0}{\bm{\pm 7.1\cdot 10^{-3}\ m}}}