Energías cinética y potencial de un oscilador armónico (7784)

, por F_y_Q

Una masa de 1 kg oscila unida a un resorte de constante k = 5\ \textstyle{N\over m} con un movimiento armónico simple de amplitud 10^{-2}\ m.

a) Cuando la elongación es la mitad de la amplitud, calcula qué fracción de la energía mecánica es cinética y qué fracción es potencial.

b) ¿Cuánto vale la elongación en el punto en el que la mitad de la energía mecánica es cinética y la otra mitad potencial?

P.-S.

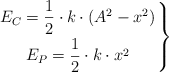
Las energías cinética y potencial del oscilador armónico, en función de la constante recuperadora y de la elongación, son:

\left E_C = \dfrac{1}{2}\cdot k\cdot (A^2 - x^2) \atop E_P = \dfrac{1}{2}\cdot k\cdot x^2 \right \}

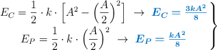
a) Solo tienes que sustituir el valor de la elongación en ambas ecuaciones:

\left E_C = \dfrac{1}{2}\cdot k\cdot \Big[A^2 - \Big(\dfrac{A}{2}\Big)^2\Big]\ \to\ {\color[RGB]{0,112,192}{\bm{E_C = \frac{3kA^2}{8}}}} \atop E_P = \dfrac{1}{2}\cdot k\cdot \Big(\dfrac{A}{2}\Big)^2\ \to\ {\color[RGB]{0,112,192}{\bm{E_P = \frac{kA^2}{8}}}} \right \}

Como puedes ver, las fracciones que representan cada una de las energías son:

\fbox{\color[RGB]{192,0,0}{\bm{E_C = \frac{3}{8}\ ;\ E_P = \frac{1}{8}}}}


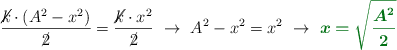
b) En este caso, ambas energías son iguales. Basta con que iguales las ecuaciones de las energías cinética y potencial y despejes el valor de la elongación:

\frac{\cancel{k}\cdot (A^2 - x^2)}{\cancel{2}} = \frac{\cancel{k}\cdot x^2}{\cancel{2}}\ \to\ A^2 - x^2 = x^2\ \to\ \color[RGB]{2,112,20}{\bm{x = \sqrt{\frac{A^2}{2}}}}

El cálculo de la elongación es muy simple:

x = \sqrt{\frac{10^{-4}\ m^2}{2}}\ \to\ \fbox{\color[RGB]{192,0,0}{\bm{x = 7\cdot 10^{-3}\ m}}}