Frecuencia de oscilación de un cuerpo colgado de un resorte (7523)

, por F_y_Q

Un cuerpo de 300 g se encuentra unido al techo a través de un muelle. El peso del cuerpo hace que el muelle se deforme 4 cm, calcula la frecuencia de oscilación del cuerpo cuando se desplaza de su posición de equilibrio.

P.-S.

Puedes escribir la constante de recuperación del muelle en función de los datos que te dan en el enunciado si aplicas la ley de Hooke:

\left F = m\cdot g \atop F = k\cdot \Delta x \right \}\ \to\ \color[RGB]{2,112,20}{\bm{k = \frac{m\cdot g}{\Delta x}}}

La frecuencia de oscilación es función de la constante de recuperación y de la masa, por lo que puedes sustituir en ella:

\omega = \sqrt{\frac{k}{m}} = \sqrt{\frac{\frac{\cancel{m}\cdot g}{\Delta x}}{\cancel{m}}}\ \to\ \color[RGB]{2,112,20}{\bm{\omega = \sqrt{\frac{g}{\Delta x}}}}

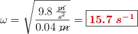
Ahora puedes calcular la frecuencia de forma simple:

\omega = \sqrt{\frac{9.8\ \frac{\cancel{m}}{s^2}}{0.04\ \cancel{m}}} = \fbox{\color[RGB]{192,0,0}{\bm{15.7\ s^{-1}}}}


Descarga el enunciado y la resolución del problema en formato EDICO si lo necesitas.