Movimiento vibratorio en una cuerda tensa (7779)

, por F_y_Q

Un extremo de una cuerda tensa horizontal de 3 m de longitud está sometida a un movimiento vibratorio armónico simple. En el instante t = 4 s la elongación de ese punto es de 2 cm. Se comprueba que la onda tarda 0.9 s en llegar de un extremo a otro de la cuerda y que la longitud de onda es de 1 m. Calcula:

a) La amplitud del movimiento ondulatorio.

b) La velocidad de vibración en el punto medio de la cuerda para t = 1 s.

P.-S.

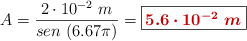
a) A partir de la ecuación de la onda para el extremo de la cuerda es, donde x = 0, puedes despejar el valor de la amplitud:

y = A\cdot sen(\omega\cdot t - \cancelto{0}{kx})\ \to\ \color[RGB]{2,112,20}{\bm{A = \frac{y}{sen\ (\omega\cdot t)}}}

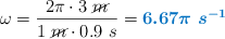
Puedes calcular el valor de \omega a partir de la longitud de onda y la velocidad de propagación:

\left v = \dfrac{L}{t} \atop v = \lambda\cdot f = \lambda\cdot \dfrac{\omega}{2\pi} \right \}\ \to\ \color[RGB]{2,112,20}{\bm{\omega = \frac{2\pi\cdot L}{\lambda\cdot t}}}

Conoces todos los datos que necesitas y puedes hacer el cálculo:

\omega = \frac{2\pi\cdot 3\ \cancel{m}}{1\ \cancel{m}\cdot 0.9\ s} = \color[RGB]{0,112,192}{\bm{6.67\pi\ s^{-1}}}

Con este valor puedes determinar la amplitud del movimiento:

A = \frac{2\cdot 10^{-2}\ m}{sen\ (6.67\pi)} = \fbox{\color[RGB]{192,0,0}{\bm{5.6\cdot 10^{-2}\ m}}}


b) La ecuación de la vibración la obtienes al derivar la ecuación de la elongación para la onda. En este caso debes tener en cuenta el valor de x en la ecuación:

v = \frac{dy}{dt}\ \to\ \color[RGB]{2,112,20}{\bm{v = A\cdot \omega\cdot cos\ (\omega\cdot t - k\cdot x)}}

El número de ondas es fácil de obtener:

k = \frac{2\pi}{\lambda} = \frac{2\pi}{1\ m} = \color[RGB]{0,112,192}{\bm{2\pi\ m^{-1}}}

Sustituyes en la ecuación de la velocidad y calculas:

v = 5.6\cdot 10^{-2}\ m\cdot 6.67\pi\ s^{-1}\cdot cos\ (6.67\pi - 2\pi)\ \to\ \fbox{\color[RGB]{192,0,0}{\bm{v = 1.13\ m\cdot s^{-1}}}}