Refuerzo: altura que alcanza un objeto que se coloca en el chorro de una fuente (6030)

, por F_y_Q

Una fuente lanza un chorro de agua hacia arriba con una velocidad de 31 m/s. Si se coloca un pato de juguete de 300 g sobre la fuente, ¿qué altura alcanzará el pato?

P.-S.

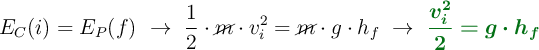
Debes suponer que el pato saldrá lanzado hacia arriba con una velocidad inicial igual a la del chorro de agua. Para saber la altura que alcanzará, tienes que igualar la energía cinética inicial del pato con la energía potencial gravitatoria que tendrá en el punto de máxima altura, suponiendo que no hay rozamiento:

E_C(i) = E_P(f)\ \to\ \frac{1}{2}\cdot \cancel{m}\cdot v_i^2 = \cancel{m}\cdot g\cdot h_f\ \to\ \color[RGB]{2,112,20}{\bm{\frac{v_i^2}{2} = g\cdot h_f}}

Despejas el valor de la altura final y calculas:

h_f = \frac{v_i^2}{2g} = \frac{31^2\ \frac{m\cancel{^2}}{\cancel{s^2}}}{2\cdot 9.8\ \frac{\cancel{m}}{\cancel{s^2}}} = \fbox{\color[RGB]{192,0,0}{\bf 49\ m}}