Reactivo limitante, reactivo sobrante y masa de producto (929)

, por F_y_Q

En un reactor se introducen 76.2 g de \ce{I_2} y 9.94 L de \ce{H_2}, medidos a 1 atm y 30\ ^oC. Determina:

a) ¿Cuál es el reactivo limitante?

b) ¿Qué cantidad del otro reactivo queda sin reaccionar?

c) ¿Qué masa de HI se produce en la reacción?

Datos: H = 1 ; I = 127 ; R = 0.082\ atm\cdot L\cdot K^{-1}\cdot mol^{-1}

P.-S.

La estrategia para hacer el problema será conocer los moles que tienes de cada reactivo, escribir la reacción ajustada, aplicar la estequiometría de la reacción y averiguar cuál de los dos se agota antes, que será el reactivo limitante. A partir de ahí, solo tendrás que aplicar la estequiometría de la reacción para calcular los dos últimos apartados.

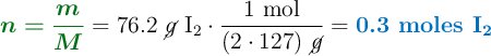
El primer paso es saber los moles de los reactivos. Empiezas con la masa del yodo:

{\color[RGB]{2,112,20}{\bm{n = \frac{m}{M}}}} = 76.2\ \cancel{g}\ \ce{I2}}\cdot \frac{1\ \text{mol}}{(2\cdot 127)\ \cancel{g}} = \color[RGB]{0,112,192}{\textbf{0.3 moles \ce{I2}}}

Sigues con el volumen de hidrógeno:

PV = nRT\ \to\ {\color[RGB]{2,112,20}{\bm{n = \frac{PV}{RT}}}} = \frac{1\ \cancel{\text{atm}}\cdot 9.94\ \cancel{L}}{0.082\ \frac{\cancel{\text{atm}}\cdot \cancel{L}}{\cancel{K}\cdot \text{mol}}\cdot 303\ \cancel{K}} = \color[RGB]{0,112,192}{\textbf{0.4 moles \ce{H2}}}

La reacción que tiene lugar es:

\color[RGB]{2,112,20}{\textbf{\ce{I2(s) + H2(g) -> 2HI(g)}}

a) Como puedes ver, la estequiometría de la reacción es 1:1, por lo que el reactivo limitante es el yodo ya que hay menos moles iniciales de él.

b) Como reaccionarán 0.3 moles de ambos reactivos, quedarán sin reaccionar 0.1 moles de \ce{H2}, es decir,

0.1\ \cancel{\text{mol}}\ \ce{H2}\cdot \frac{(2\cdot 1)\ g}{1\ \cancel{\text{mol}}} = \fbox{\color[RGB]{192,0,0}{\textbf{2 g \ce{H2}}}}


c) Tal y como puedes ver, la estequiometría entre el yodo y el HI es 1:2, por lo que se producen el doble de moles de Hi que los que reaccionan de yodo. Su masa es:

0.3\ \cancel{\ce{mol\ I2}}\cdot \frac{2\ \cancel{\text{mol}}\ \ce{HI}}{1\ \cancel{\ce{mol\ I2}}}\cdot \frac{(1 + 127)\ g}{1\ \cancel{\text{mol}}} = \fbox{\color[RGB]{192,0,0}{\textbf{76.8 g de HI}}}